结构图纸
性能参数

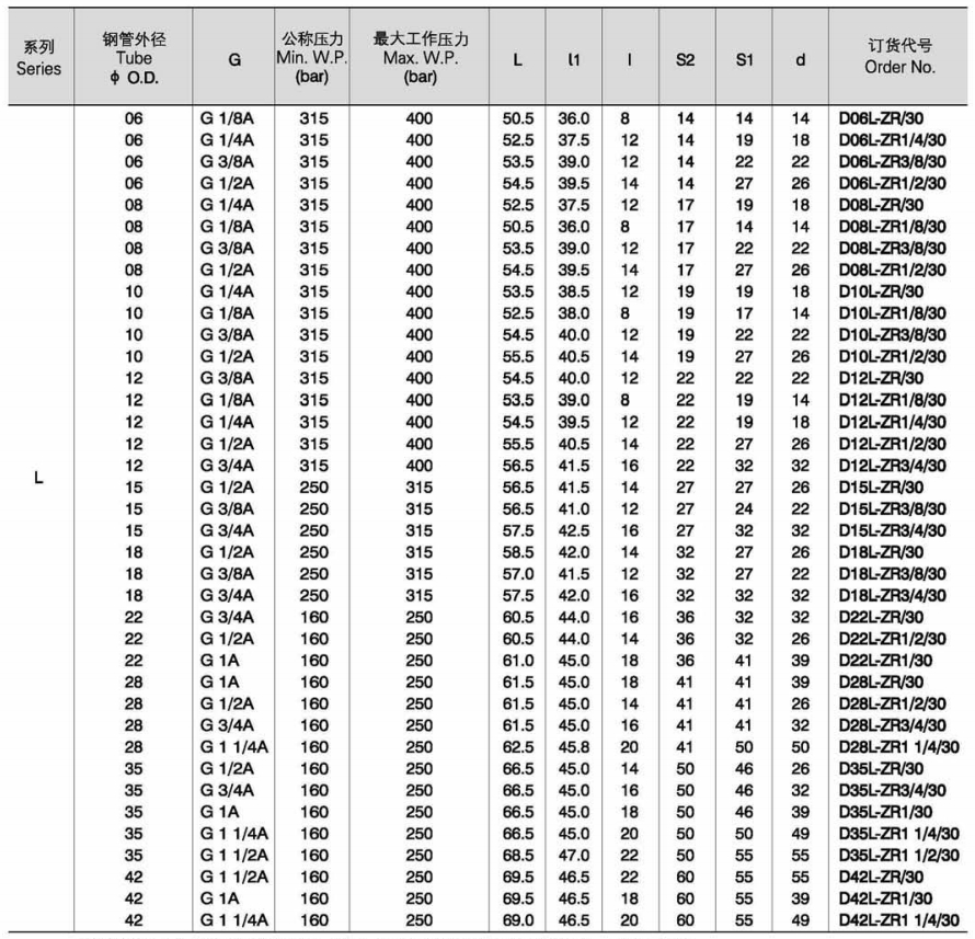
不带螺母和卡套时的订货代号示例:D10L-ZM/30X("/30"随l的转变而转变,,,,,若当l=40时,,,,,
不带螺母和卡套时的订货代号示例:D10L-ZM/40X)
如需不锈钢讨论订货代号示例:D10L-ZM/3071
Code example for order without nut and ferrule:D10L-ZM/30X(“/30" is changed with the change of l;
when l is equal to 40, Code example for order without nut and ferrue is D10L-ZM/40X)
Code example for order with stainless steel fitting:D10L-ZM/3071


不带螺母和卡套时的订货代号示例:D10S-ZR/30X("/30"随l的转变而转变,,,,,若当l=40时,,,,,
不带螺母和卡套时的订货代号示例:D10S-ZR/40X)
如需不锈钢讨论订货代号示例:D10S-ZR/3071
Code example for order without nut and ferrule:D10S-ZR/30X(“/30" is changed with the change of l;
when l is equal to 40, Code example for order without nut and ferrue is D10S-ZR/40X)
Code example for order with stainless steel fitting:D10S-ZR/3071